Weer oefenen
In vorige oefening zat nog een foutje. Weet je wat je fout hebt gedaan en begrijp je waarom? Durf zeker vragen te stellen via het forum.
- Maak vorige oefening opnieuw.
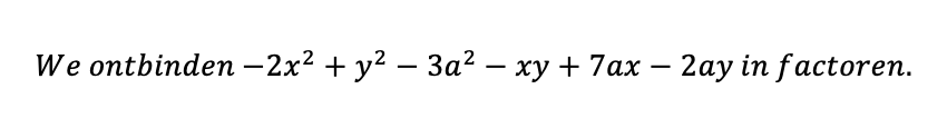
- Ontbond je daarnet de veelterm in a, dan doe je dit nu voor de veelterm in x. En omgekeerd.
- Hieronder vind je de opgave nogmaals.

Klaar?
Kijk je oefening nog eens na op teken -en rekenfoutjes vooraleer je de correctiesleutel erbij neemt.
Als je klaar bent met verbeteren, kan je onderstaande oefening proberen.
Als je hierin slaagt, zou je de code moeten kunnen kraken om de kamer te verlaten.

